Ακίνητα, καταθέσεις και ξανά μανά ακίνητα και ξανά μανά καταθέσεις.
Τα πόθεν έσχες των πολιτικών αρχηγών, των υπουργών και, γενικώς, όλων των βουλευτών και ευρωβουλευτών δόθηκαν στη δημοσιότητα από τη Βουλή και, όπως πάντα, ανοίγει μία μεγάλη συζήτηση για το τι ακριβώς κρύβεται στους τραπεζικούς λογαριασμούς τους.
Αν και το μεγάλο… λαβράκι φαίνεται πως δεν υπάρχει φέτος, τα στοιχεία του 2013, τα οποία αφορούν τη χρήση του οικονομικού έτους του 2012, έχουν ορισμένες ενδιαφέρουσες πτυχές, περισσότερο συμβολικού χαρακτήρα.
Αφενός είναι η πρώτη χρονιά που ο ΣΥΡΙΖΑ είχε τόσα μέλη στο κοινοβούλιο. Αφετέρου είναι η πρώτη χρονιά που αρκετοί από τους βουλευτές του ΠΑΣΟΚ και της Νέας Δημοκρατίας απουσιάζουν, εξαιτίας της μη εκλογής τους.
Και όσο ξετυλίγεται το κουβάρι των πόθεν έσχες, τόσο μπορεί κανείς να βγάλει τα δικά του συμπεράσματα.
Διαβάστε εδώ αναλυτικά τις δηλώσεις πόθεν έσχες που αναρτώνται στη Βουλή για έναν μήνα.
Αλέξης Τσίπρας
Ο Πρωθυπουργός εμφανίζει εισοδήματα που αγγίζουν τις 70 χιλιάδες ευρώ, ενώ στην κατοχή του έχει κι ένα σπίτι, το οποίο έχει αποκτήσει από το 1996. Το έχει, δηλαδή, στην κατοχή του εδώ και ακριβώς 20 χρόνια και, όπως προκύπτει από τη δήλωσή του, το έχει κατ’ αποκλειστική κυριότητα. Αν και δεν αναφέρεται ούτε ο Δήμος, ούτε άλλα στοιχεία, αυτό που έχει ξεχωριστή σημασία είναι πως ο Αλέξης Τσίπρας έλεγε το 2013, την ίδια περίοδο δηλαδή στην οποία αναφέρεται το πόθεν έσχες, πως δεν έχει δικό του σπίτι και πως ζει στο νοίκι. Και αυτός ήταν ο λόγος που δεν πλήρωνε ΕΝΦΙΑ.
Τα εισοδήματά του είναι 69.324,93 ευρώ, με τα 28.065,19 να εξαιρούνται από το αφορολόγητο. Ο Πρωθυπουργός δηλώνει τέσσερις λογαριασμούς στην Εθνική Τράπεζα και οι συνολικές αποταμιεύσεις του τότε δεν ξεπέρασαν τις 7.000 ευρώ. Υπάρχει και μία μηχανή, η οποία αποκτήθηκε το 2007.
Δείτε αναλυτικά:
Υ.Γ.: Μία ημέρα μετά τη δημοσιοποίηση των πόθεν έσχες των πολιτικών και μετά τον θόρυβο που δημιουργήθηκε από μία σειρά δημοσιευμάτων σε Μέσα Μαζικής Ενημέρωσης, τελικά, το Μέγαρο Μαξίμου απάντησε την Πέμπτη. «Ο Πρωθυπουργός μένει στην Κυψέλη σε ενοίκιο. Το ακίνητο το οποίο εμφανίζεται στην ιδιοκτησία του, στη δήλωση πόθεν έσχες, είναι το πατρικό του στους Αμπελόκηπους. Πρόκειται για το σπίτι στο οποίο γεννήθηκε και έχει μεταβιβαστεί με γονική παροχή, εδώ και πάρα πολλά χρόνια. Η δημοσιογραφική αλητεία είναι, από ό,τι φαίνεται, το τελευταίο καταφύγιο της διαπλοκής».
Κυριάκος Μητσοτάκης
Η βουλευτική αποζημίωση του προέδρου της ΝΔ ξεπερνά τις 70.000 ευρώ και είναι μεγαλύτερη από αυτή του Αλέξη Τσίπρα. Σε αντίθεση με τον πρόεδρο του ΣΥΡΙΖΑ, ο κ. Μητσοτάκης έχει αρκετά ακίνητα στην κατοχή του, συγκεκριμένα 19. Ωστόσο, δεν είναι όλα κατ’ αποκλειστική κυριότητά του, αφού σε αρκετά από αυτά εμφανίζει συμμετοχή κοντά στο 10%.
Το 2012 φαίνεται να έχει πάρει οικόπεδο από γονική παροχή και να το πουλάει την ίδια χρονιά έναντι 342.000 ευρώ. Το 2013 ο κ. Μητσοτάκης αγόρασε 16 μετοχές της SAMSUNG ELECTRONICS έναντι 10.912 δολαρίων. Οι καταθέσεις του για το 2013 έφταναν στα 162.306 ευρώ.
Δείτε αναλυτικά:
Δημήτρης Κουτσούμπας
Ο ΓΓ της ΚΕ του ΚΚΕ Δημήτρης Κουτσούμπας, ο οποίος ανέλαβε τα καθήκοντά του το 2013, για το οικονομικό έτος 2012 δήλωσε στο πόθεν έσχες του έσοδα 25.651 ευρώ με τη σύζυγό του να δηλώνει έσοδα 16.576 ευρώ. Οσον αφορά τις καταθέσεις διατηρεί δύο λογαριασμούς από κοινού με τη σύζυγό του στη Eurobank και την Εθνική Τράπεζα της Ελλάδος συνολικού ύψους 10.060 ευρώ ενώ άλλους δύο λογαριασμούς έχει με τα παιδιά του στην Εθνική Τράπεζα της Ελλάδος συνολικού ύψους 2.505 ευρώ. Μαζί με τη σύζυγο και τα παιδιά του κατέχουν δικαιώματα από 100% έως 33% σε έξι ακίνητα. Ο κ. Κουτσούμπας σημειώνεται ότι δεν έχει στην κατοχή του ούτε μετοχές, ούτε πάσης φύσεως οχήματα.
Φώφη Γεννηματά
Δηλώνει εισόδημα 40.600 ευρώ, ενώ 30.204 ευρώ δηλώνει ο σύζυγος της, ο οποίος είναι οδοντίατρος. Διαθέτει 2 σπίτια, 256 τ.μ. και 62 τ.μ. αντίστοιχα. Ο σύζυγος της είναι κάτοχος 3 διαμερισμάτων, 59, 105 και 25 τ.μ. αντίστοιχα, μιας οικίας 75 τ.μ., ενός οικοπέδου, 3 αγροτεμαχίων 8.000 τ.μ., έτερης οικίας 81 τ.μ., και άλλων αγροτεμαχίων, διαμερισμάτων, αποθηκών, τα οποία διαθέτει εξ’ ολοκλήρου ή είναι κάτοχος ποσοστών. Διαθέτει μετοχές της Εθνικής Τράπεζας αλλά και του Αστήρ Παλλάς Βουλιαγμένης και έχει καταθέσεις 5.200 ευρώ περίπου. Ο σύζυγός της έχει καταθέσεις που δεν ξεπερνούν τις 4.200 ευρώ. Η ίδια δεν έχει αυτοκίνητο έχει όμως ο άνδρας της με 14 φορολογηθέντες ίππους.
Πάνος Καμμένος
Τα εισοδήματα του Πάνου Καμμένου ανέρχονται περίπου σε 72.000 ευρώ εκ των οποίων τα 42.140 δεν φορολογούνται. Επίσης, από άλλες πηγές και συγκεκριμένα από είσπραξη ενοικίων εμφανίζει εισοδήματα ύψους 72.000 ευρώ. Η σύζυγός του έχει εισοδήματα ύψους 32.967 ευρώ από δικηγορικές αμοιβές, 2.100 ευρώ από ενοίκια και 95 ευρώ από τόκους καταθέσεων. Η ακίνητη περιουσία του ζεύγους αυξήθηκε ελάχιστα καθώς η σύζυγός του κληρονόμησε ποσοστό 9,37% σε οικόπεδο με οικία. Κατά τα λοιπά ο πρόεδρος των ΑΝΕΛ διαθέτει το 100% εννέα γραφείων και το 50% οικίας 509 τ.μ.. Η σύζυγός του συμμετέχει με διάφορα ποσοστά σε 11 ακίνητα. Μικρού ύψους καταθέσεις εμφανίζει ο κ. Καμμένος. Συγκεκριμένα σε πέντε λογαριασμούς της Citi Bank εμφανίζει περίπου 90 ευρώ, 80 δολάρια και 17 λίρες Αγγλίας. Στην Εθνική Τράπεζα εμφανίζει ποσά περίπου 16.000 ευρώ. Η σύζυγός του σε τέσσερις λογαριασμούς αποταμίευσε λίγο πάνω από 28.000 ευρώ. Αμετάβλητη παρέμεινε η περιουσία σε πλωτά και μεταφορικά μέσα του ζεύγους με τον αρχηγό των ΑΝΕΛ να διατηρεί το φουσκωτό 8,3 μέτρων.
Επίσης ο κ. Καμμένος εμφανίζεται κάτοχος ΙΧ 5.967 κ.ε. και ενός ακόμα 4.970 κ.ε. το οποίο όπως δηλώνει βρίσκεται σε ακινησία «λόγω αδυναμίας πώλησής του». Η σύζυγός του έχει ένα ΙΧ 1.970 κ.ε. Τέλος, ο κ. Καμμένος είναι μέτοχος σε εμπορική εταιρία ΑΕ με κεφάλαιο εισφοράς 163.900 ευρώ.
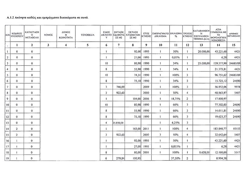
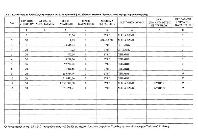
Γιώργος Σταθάκης
Να έχει κανείς τα λεφτά του στο εξωτερικό, ενώ τα έχει προηγουμένως φορολογήσει στην Ελλάδα δεν είναι παράνομο. Είναι, όμως, ηθικό; Ειδικά για έναν υπουργό της Αριστεράς. Με βάση το πόθεν έσχες του κ. Σταθάκη, οι καταθέσεις του ξεπερνούν το ένα εκατομμύριο και είναι σχεδόν αποκλειστικά σε κυπριακές τράπεζες.
Η οικογένεια Σταθάκη δηλώνει 51 εγγραφές ακινήτων σε 51 ακίνητα σε Χανιά, Κορινθία, Αττική και Αχαΐα με τον Υπουργό να έχει στη δική του κατοχή τα 13 εξ αυτών.
Σε σημαντική πώληση μεριδίων αμοιβαίων κεφαλαίων προχώρησε τη χρονιά που εξελέγη βουλευτής ο νυν Υπουργός Οικονομίας Γιώργος Σταθάκης μειώνοντας το χαρτοφυλάκιό του και ειδικότερα στα αμοιβαία κεφάλαια διάσημων ξένων επενδυτικών οίκων. Συγκεκριμένα εμφανίζεται να έχει πουλήσει αμοιβαία κεφάλαια της BLACKROCK GLOBAL με τίμημα 54.811,84 ευρώ, μερίδια αμοιβαίων κεφαλαίων της SISE EURO CORPORATE εισπράττοντας 29.447,98 ευρώ αλλά και μερίδια αμοιβαίων κεφαλαίων της MORGAN STANLEY εισπράττοντας 58.373, 4 ευρώ. Κατά τα λοιπά διατήρησε τα μερίδια αμοιβαίων κεφαλαίων της ALPHA BLUE CHIPS, ALPHA BRIC και SISE BRIC FUND συνολικής αξίας αποτίμησης 218.643 ευρώ. Παράλληλα διατήρησε μετοχές της HELLENIC SEAWAYS αξίας κτήσης 81.187,5 ευρώ.
Δείτε αναλυτικά:
